Задание 1270 - ГДЗ Математика 6 класс. Виленкин, Жохов, Чесноков. Учебник. Страница 223

Старая и новая редакции

Вернуться к содержанию учебника

1267 1268 1269 1270 1271 1272 1273

Вопрос

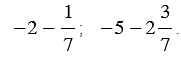
№1270 учебника 2011-2017 (стр. 223):

Вычислите:

Подсказка

№1270 учебника 2011-2017 (стр. 223):

Вспомните:

  1. Сложение рациональных чисел.
  2. Вычитание рациональных чисел.
  3. Модуль числа.
  4. Сложение и вычитание обыкновенных дробей.
  5. Неправильные дроби.

Ответ

№1270 учебника 2011-2017 (стр. 223):


Вернуться к содержанию учебника