Задание 1269 - ГДЗ Математика 6 класс. Виленкин, Жохов, Чесноков. Учебник. Страница 223

Старая и новая редакции

Вернуться к содержанию учебника

1266 1267 1268 1269 1270 1271 1272

Вопрос

№1269 учебника 2011-2017 (стр. 223):

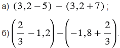
Найдите значение выражения:

Подсказка

№1269 учебника 2011-2017 (стр. 223):

Вспомните:

  1. Раскрытие скобок.
  2. Сложение рациональных чисел.
  3. Вычитание рациональных чисел.
  4. Модуль числа.
  5. Сложение и вычитание десятичных дробей.
  6. Сравнение десятичных дробей.

Ответ

№1269 учебника 2011-2017 (стр. 223):


Вернуться к содержанию учебника