Задание 2.383 - ГДЗ Математика 6 класс. Виленкин, Жохов. Учебник часть 1

Старая и новая редакции

Вернуться к содержанию учебника

2.380 2.381 2.382 2.383 2.384 2.385 2.386

Вопрос

Выберите год учебника

№2.383 учебника 2023-2024 (стр. 96):

Найдите произведение:


№2.383 учебника 2021-2022 (стр. 90):

Найдите произведение:

Подсказка

№2.383 учебника 2023-2024 (стр. 96):

Вспомните:

  1. Умножение обыкновенных дробей.
  2. Сокращение дробей.
  3. Неправильные дроби.
  4. Деление и дроби.

№2.383 учебника 2021-2022 (стр. 90):

Вспомните:

  1. Смешанные числа.
  2. Умножение обыкновенных дробей.
  3. Распределительное свойство умножения.
  4. Сокращение дробей.
  5. Деление и дроби.
  6. Неправильные дроби.

Ответ

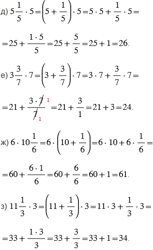
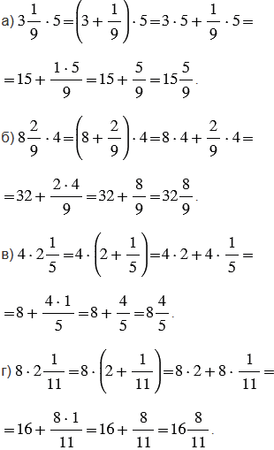
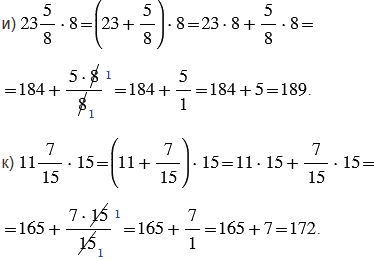
№2.383 учебника 2023-2024 (стр. 96):


Пояснения:

Произведением двух дробей является дробь, числитель которой равен произведению числителей, а знаменатель - произведению знаменателей.

Чтобы умножить обыкновенную дробь на натуральное число, нужно ее числитель умножить на это число, а знаменатель оставить без изменения.

При выполнении умножения, чтобы вычисления были проще, не надо перемножать сразу, лучше сделать это после сокращения. Сократить дробь - значит, разделить ее числитель и знаменатель на одно и то же число (наибольший общий делитель).


№2.383 учебника 2021-2022 (стр. 90):


Пояснения:

Чтобы умножить смешанное число на натуральное число, используем распределительное свойство умножения, а именно, чтобы умножить смешанное число на натуральное число, можно:

1) умножить целую часть на натуральное число;

2) умножить дробную часть на это натуральное число;

3) сложить полученные результаты.

Чтобы умножить обыкновенную дробь на натуральное число, нужно ее числитель умножить на это число, а знаменатель оставить без изменения. Чтобы вычисления были проще, не надо перемножать сразу, лучше сделать это после сокращения. Сократить дробь - значит, разделить ее числитель и знаменатель на их наибольший общий делитель. Также помним, дробь, у которой в знаменателе стоит единица, равна своему числителю, а дробь, у которой числитель и знаменатель одинаковые, равна единице.


Вернуться к содержанию учебника