Вернуться к содержанию учебника
Выберите год учебника
№2.358 учебника 2023-2024 (стр. 91):
На участке сибирского леса 70% занимает лиственница,
оставшейся площади занимает кедр, а остальную площадь - лиственные деревья. Сколько гектаров занимают лиственные деревья, если площадь всего участка 720 га?
№2.358 учебника 2021-2022 (стр. 86):
Найдите значение произведения:

№2.358 учебника 2023-2024 (стр. 91):
Вспомните:
№2.358 учебника 2021-2022 (стр. 86):
Вспомните:
№2.358 учебника 2023-2024 (стр. 91):
1) 70% = 0,7
720 • 0,7 = 504 (га) - занимает лиственница.
| × | 7 | 2 | 0 |
| 0 | 7 | ||
| 5 | 0 | 4 | 0 |
2) 720 - 504 = 216 (га) - занимают кедр и лиственные деревья.
| • | |||
| - | 7 | 2 | 0 |
| 5 | 0 | 4 | |
| 2 | 1 | 6 |
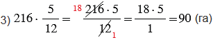
- занимает кедр.
| - | 2 | 1 | 6 | 1 | 2 | |||||||||
| 1 | 2 | 1 | 8 | |||||||||||
| - | 9 | 6 | ||||||||||||
| 9 | 6 | |||||||||||||
| 0 |
4) 216 - 90 = 126 (га)
Ответ: 126 га занимают лиственные деревья.
Пояснения:
1) Чтобы найти несколько процентов от числа, нужно сначала перевести проценты в десятичную дробь, а затем умножить число на полученную десятичную дробь. Чтобы проценты записать в виде десятичной дроби, нужно число стоящее перед знаком % разделить на 100.
На участке сибирского леса, площадью 720 га, 70% занимает лиственница.
70% = 70 : 100 = 0,7.
Значит, лиственница занимает:
720 • 0,7 = 504 (га).
2) Участок сибирского леса имеет площадь 720 га, из которых 504 га занимает лиственница, а остальную площадь занимают кедр и лиственные деревья, значит, кедр и лиственные деревья занимают:
720 - 504 = 216 (га).
3) Чтобы найти дробь от числа (десятичную или обыкновенную), нужно умножить число на эту дробь.
от 216 га занимает кедр, значит, кедр занимает:

Чтобы умножить обыкновенную дробь на натуральное число, нужно ее числитель умножить на это число, а знаменатель оставить без изменения. Чтобы вычисления были проще, не надо перемножать сразу, лучше сделать это после сокращения. Сократить дробь - значит, разделить ее числитель и знаменатель на их наибольший общий делитель. Также помним, дробь, у которой в знаменателе стоит единица, равна своему числителю.
4) Кедр и лиственные деревья занимают 216 га леса, из которых 90 га занимает кедр, значит, лиственные деревья занимают:
216 - 90 = 126 (га).
№2.358 учебника 2021-2022 (стр. 86):

Пояснения:
Произведением двух дробей является дробь, числитель которой равен произведению числителей, а знаменатель - произведению знаменателей.
Чтобы умножить обыкновенную дробь на натуральное число, нужно ее числитель умножить на это число, а знаменатель оставить без изменения
Чтобы выполнить умножение смешанных чисел, нужно записать эти числа в виде неправильных дробей, а затем воспользоваться правилом умножения дробей.
Чтобы преобразовать смешанное число в неправильную дробь, надо целую часть числа умножить на знаменатель дробной части и к полученному произведению прибавить числитель дробной части; эту сумму записать как числитель неправильной дроби, а в ее знаменатель записать знаменатель дробной части смешанного числа.
Чтобы вычисления были проще, не надо перемножать сразу, лучше сделать это после сокращения.
Сократить дробь - значит, разделить ее числитель и знаменатель на одно и то же число (наибольший общий делитель).
Также помним, дробь, у которой в знаменателе стоит единица равна своему числителю.
Вернуться к содержанию учебника