Задание 1364 - ГДЗ Математика 6 класс. Виленкин, Жохов, Чесноков. Учебник. Страница 239

Старая и новая редакции

Вернуться к содержанию учебника

1361 1362 1363 1364 1365 1366 1367

Вопрос

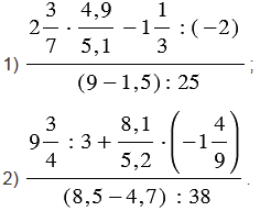
№1364 учебника 2011-2017 (стр. 239):

Найдите значение выражения:

Подсказка

№1364 учебника 2011-2017 (стр. 239):

Вспомните:

  1. Деление и дроби.
  2. Порядок выполнения действий.
  3. Основное свойство дроби.
  4. Сложение и вычитание дробей с одинаковыми знаменателями.
  5. Умножение обыкновенных дробей смешанных чисел.
  6. Деление обыкновенных дробей и смешанных чисел.
  7. Преобразование смешанных чисел.
  8. Неправильные дроби.
  9. Деление с остатком.
  10. Деление рациональных чисел.
  11. Умножение рациональных чисел.
  12. Сложение рациональных чисел.
  13. Вычитание рациональных чисел.
  14. Модуль числа.
  15. Вычитание десятичных дробей.
  16. Деление десятичных дробей.

Ответ

№1364 учебника 2011-2017 (стр. 239):


Вернуться к содержанию учебника