Задание 1358 - ГДЗ Математика 6 класс. Виленкин, Жохов, Чесноков. Учебник. Страница 238

Старая и новая редакции

Вернуться к содержанию учебника

1355 1356 1357 1358 1359 1360 1361

Вопрос

№1358 учебника 2011-2017 (стр. 238):

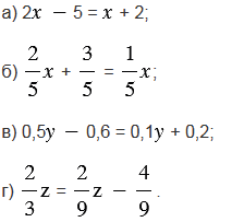
Найдите корень уравнения:

Подсказка

№1358 учебника 2011-2017 (стр. 238):

Вспомните:

  1. Деление рациональных чисел.
  2. Модуль числа.
  3. Как привести подобные слагаемые.
  4. Решение уравнений.
  5. Умножение обыкновенных дробей.
  6. Сокращение дробей.
  7. Умножение десятичных дробей.

Ответ

№1358 учебника 2011-2017 (стр. 238):


Вернуться к содержанию учебника