Вернуться к содержанию учебника
№1317 учебника 2011-2017 (стр. 231):
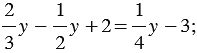
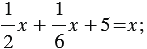
С помощью умножения обеих частей уравнения на одно и то же число освободитесь от дробных чисел и решите уравнение:
а) 
б) 
в) 
г) 
№1317 учебника 2011-2017 (стр. 231):
Вспомните:
Вернуться к содержанию учебника