Задание 1308 - ГДЗ Математика 6 класс. Виленкин, Жохов, Чесноков. Учебник. Страница 229

Старая и новая редакции

Вернуться к содержанию учебника

1305 1306 1307 1308 1309 1310 1311

Вопрос

№1308 учебника 2011-2017 (стр. 229):

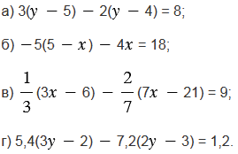
Решите уравнение:

Подсказка

№1308 учебника 2011-2017 (стр. 229):

Вспомните:

  1. Как решают уравнения.
  2. Раскрытие скобок, приведение подобных слагаемых.
  3. Сложение рациональных чисел.
  4. Вычитание рациональных чисел.
  5. Умножение рациональных чисел.
  6. Модуль числа.
  7. Умножение обыкновенных дробей.
  8. Сокращение дробей.
  9. Умножение десятичных дробей.
  10. Сложение и вычитание десятичных дробей.
  11. Деление и дроби.
  12. Неправильные дроби.
  13. Смешанные числа.
  14. Деление с остатком.

Ответ

№1308 учебника 2011-2017 (стр. 229):


Вернуться к содержанию учебника