Задание 1202 - ГДЗ Математика 6 класс. Виленкин, Жохов, Чесноков. Учебник. Страница 208

Старая и новая редакции

Вернуться к содержанию учебника

1199 1200 1201 1202 1203 1204 1205

Вопрос

№1202 учебника 2011-2017 (стр. 208):

Сформулируйте словами сочетательное свойство сложения а+b+c=a+b+c и проверьте его:

а) при = 0,7, = 0,3, = 1,2;  

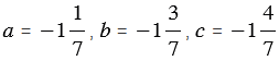
б) при .

Подсказка

№1202 учебника 2011-2017 (стр. 208):

Вспомните:

  1. Сочетательное свойство сложения рациональных чисел.
  2. Сложение рациональных чисел.
  3. Модуль числа.
  4. Сложение и вычитание десятичных дробей.
  5. Сложение смешанных чисел.
  6. Сложение обыкновенных дробей с одинаковыми знаменателями.

Ответ

№1202 учебника 2011-2017 (стр. 208):


Вернуться к содержанию учебника