Задание 1156 - ГДЗ Математика 6 класс. Виленкин, Жохов, Чесноков. Учебник. Страница 198

Старая и новая редакции

Вернуться к содержанию учебника

1153 1154 1155 1156 1157 1158 1159

Вопрос

№1156 учебника 2011-2017 (стр. 198):

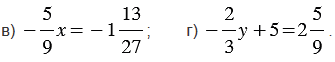
Решите уравнение:

Подсказка

Ответ

№1156 учебника 2011-2017 (стр. 198):


Вернуться к содержанию учебника