Вернуться к содержанию учебника
№1101 учебника 2011-2017 (стр. 187):
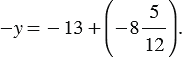
Решите уравнение:
а)
г) 
б)
д) 
в)
е) 
№1101 учебника 2011-2017 (стр. 187):
Вспомните:
Вернуться к содержанию учебника