Задание 1000 - ГДЗ Математика 6 класс. Виленкин, Жохов, Чесноков. Учебник. Страница 167

Старая и новая редакции

Вернуться к содержанию учебника

997 998 999 1000 1001 1002 1003

Вопрос

№1000 учебника 2011-2017 (стр. 167):

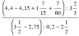
Вычислите: .

Подсказка

№1000 учебника 2011-2017 (стр. 167):

Ответ

№1000 учебника 2011-2017 (стр. 167):


Вернуться к содержанию учебника