Задание 945 - ГДЗ Математика 6 класс. Виленкин, Жохов, Чесноков. Учебник. Страница 158

Старая и новая редакции

Вернуться к содержанию учебника

942 943 944 945 946 947 948

Вопрос

№945 учебника 2011-2017 (стр. 158):

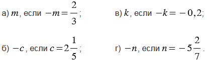
Найдите значение:

Подсказка

№945 учебника 2011-2017 (стр. 158):

Вспомните, какие числа называются противоположными.

Ответ

№945 учебника 2011-2017 (стр. 158):


Вернуться к содержанию учебника