Задание 940 - ГДЗ Математика 5 класс. Виленкин, Жохов, Чесноков. Учебник. Страница 147

Старая и новая редакции

Вернуться к содержанию учебника

937 938 939 940 941 942 943

Вопрос

№940 учебника 2011-2016 (стр. 147):

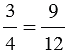
Объясните с помощью рисунка, почему

а) ;                                          б) .

         

Подсказка

№940 учебника 2011-2016 (стр. 147):

Вспомните:

  1. Обыкновенные дроби.
  2. Сравнение дробей.

Ответ

№940 учебника 2011-2016 (стр. 147):


Вернуться к содержанию учебника