Вернуться к содержанию учебника
Выберите год учебника
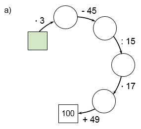
№687 учебника 2017-2020 (стр. 128):
Восстановите цепочку вычислений:

№687 учебника 2011-2016 (стр. 105):
Квадрат какого числа равен 4; 16; 36; 81; 900? Куб какого числа равен 1; 8; 64; 125; 27 000?
№687 учебника 2017-2020 (стр. 128):
Вспомните:
№687 учебника 2011-2016 (стр. 105):
Вспомните:
Вернуться к содержанию учебника