Задание 445 - ГДЗ Математика 6 класс. Виленкин, Жохов, Чесноков. Учебник

Старая и новая редакции

Вернуться к содержанию учебника

442 443 444 445 446 447 448

Вопрос

Выберите год учебника

№445 учебника 2018-2020 (стр. 83):

Представьте первый множитель в виде обыкновенной дроби и выполните умножение:


№445 учебника 2011-2017 (стр. 73):

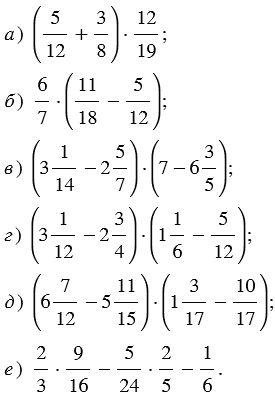
Найдите значение выражения:

Подсказка

№445 учебника 2018-2020 (стр. 83):

Вспомните:

  1. Как перевести десятичную дробь в обыкновенную.
  2. Умножение обыкновенных дробей.
  3. Сокращение дробей.

№445 учебника 2011-2017 (стр. 73):

Вспомните:

  1. Порядок выполнения действий в сложных примерах.
  2. Сложение и вычитание смешанных чисел.
  3. Приведение дробей к общему знаменателю.
  4. Умножение обыкновенных дробей.
  5. Сокращение дробей.

Ответ

№445 учебника 2018-2020 (стр. 83):


№445 учебника 2011-2017 (стр. 73):


Вернуться к содержанию учебника