Вернуться к содержанию учебника
Выберите год учебника
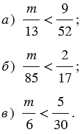
№408 учебника 2018-2020 (стр. 74):
Найдите натуральные значения m, при которых верно неравенство:

№408 учебника 2011-2017 (стр. 65):
Выполните действие:

№408 учебника 2018-2020 (стр. 74):
Вспомните:
№408 учебника 2011-2017 (стр. 65):
Вспомните:
Вернуться к содержанию учебника