Задание 375 - ГДЗ Математика 6 класс. Виленкин, Жохов, Чесноков. Учебник

Старая и новая редакции

Вернуться к содержанию учебника

372 373 374 375 376 377 378

Вопрос

Выберите год учебника

№375 учебника 2018-2020 (стр. 67):

Дорога из села в город проходит через рабочий поселок. Из села в город вышла легковая автомашина со скоростью 1,5 км/мин. В то же самое время из рабочего поселка в город вышла грузовая автомашина со скоростью 1 км/мин. Через 20 мин легковая автомашина догнала грузовую. Найдите расстояние от села до рабочего поселка.


№375 учебника 2011-2017 (стр. 59):

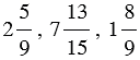
Запишите дробную часть чисел в виде неправильной дроби, уменьшив целую часть этих чисел на 1.

Подсказка

№375 учебника 2018-2020 (стр. 67):

Вспомните:

  1. Формулу нахождения пути зная скорость и время.
  2. Умножение десятичной дроби на натуральное число.
  3. Краткую запись задачи.

№375 учебника 2011-2017 (стр. 59):

Вспомните:

Какие дроби называются неправильными.

Ответ

№375 учебника 2018-2020 (стр. 67):


№375 учебника 2011-2017 (стр. 59):


Вернуться к содержанию учебника