Вернуться к содержанию учебника
Выберите год учебника
№334 учебника 2018-2020 (стр. 62):
Найдите значение выражения:

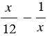
№334 учебника 2011-2017 (стр. 54):
Найдите значение выражения
если
= 4; 5; 6.
№334 учебника 2018-2020 (стр. 62):
Повторите сложение и вычитание дробей с разными знаменателями.
Вспомните десятичную запись дробных чисел.
№334 учебника 2011-2017 (стр. 54):
Повторите вычитание дробей с разными знаменателями.
Вернуться к содержанию учебника